[Solved]-Trace Execution Edmonds Karp Maximum Flow Algorithm Graph Shown Break Ties Bfs Visit Edge Q37261442
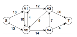
Trace the execution of the Edmonds-Karp maximum flow algorithmon the graph shown below. To break ties during BFS, visit the edgesfor each vertex in order. Show the augmenting path chosen in eachstep (and the flow of that path), as well as the final flow foreach edge and the value of the maximum flow.

V1 1辟 10 7 ge穷 Show transcribed image text V1 1辟 10 7 ge穷
Expert Answer
Answer to Trace the execution of the Edmonds-Karp maximum flow algorithm on the graph shown below. To break ties during BFS, visit… . . .
OR

